恩卓润® / Enerzair®说明书
Indacaterol Acetate, Glycopyrronium Bromide and Mometasone Furoate Powder for Inhalation(I)(Ⅱ)
马来酸茚达特罗
本品为复方制剂,其活性成份为醋酸茚达特罗、格隆溴铵和糠酸莫米松。
醋酸茚达特罗
化学名称: (R)-5-[2-(5,6-二乙基二氢茚-2-基氨基)-1-羟乙基]-8-羟基-1H-喹啉-2-酮醋酸盐
化学结构式:
分子式:C24H28N2O3·C2H4O2
分子量:452.55
格隆溴铵
化学名称: 溴化 3-羟基-1,1-二甲基吡咯烷基-α-环戊基扁桃酸酯
化学结构式:
分子式:C19H28BrNO3
分子量:398.34
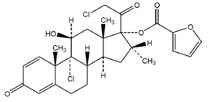
糠酸莫米松
化学名称: 9,21-二氯-11β,17-二羟基-16α-甲基孕甾-1,4-二烯-3,20-二酮 17-(2-糠酸酯)
化学结构式:
分子式:C27H30Cl2O6
分子量:521.43
辅料:乳糖,硬脂酸镁,羟丙甲基纤维素胶囊壳。
本品为透明硬胶囊,内容物为白色至类白色粉末。
本品适用于使用长效 β2 受体激动剂和吸入性糖皮质激素联合维持治疗未能充分控制的成年哮喘患者的维持治疗。
用量
本品推荐剂量为每日一次,每次吸入一粒 150/50/80µg 或 150/50/160µg 胶囊的药物。
本品最大推荐剂量为 150/50/160µg ,每日一次。
特殊人群
肾功能损害
轻至中度肾损害患者无需调整剂量。重度肾功能损害或需要透析的终末期肾病患者使用时需谨慎,仅在预期获益大于潜在风险时使用本品(参见【注意事项】和【药代动力学】)。
肝功能损害
轻度或中度肝损害患者无需调整剂量。尚无本品在重度肝功能损害患者中的数据,因此只有当预期获益大于潜在风险时,才应在该类患者中使用本品(参见【药代动力学】)。
老年人群
65 岁或以上老年患者无需调整剂量(参见【老年用药】和【药代动力学】)。
儿科人群
本品在18岁以下儿童患者中的安全性和有效性尚未确定(参见【儿童用药】)。
用法
本品仅供经口吸入给药,本胶囊不得口服。
应该指导患者正确地使用本品。对于呼吸症状未见改善的患者应该询问是否吞咽了药物,而非吸入药物。
胶囊必须仅使用随附的药粉吸入器给药。应使用每张新处方提供的药粉吸入器。
胶囊必须始终储存于泡罩中,以防潮和避光,且仅在使用前立即取出(参见【贮藏】)。
吸入后,患者应用水漱口但不要吞咽。
推荐在每日相同的时间吸入本品,但可以在一天中的任何时间给药。如果漏吸了某剂药物,请尽快在同一天补吸。应指导患者不得在一天中用药超过一次剂量。
使用前请阅读完整的【使用说明】。
使用说明


安全性特征总结
52 周内最常见的不良反应为头痛(4.2%)。
不良反应列表
按 MedDRA 系统器官分类列出药物不良反应(ADR)(表 1)。ADR 的频率基于 IRIDIUM 研究。每个器官系统分类中,药物不良反应按发生频率排序,最常见的排第一位。在每个频率分组中,药物不良反应按照严重程度降序排列。此外,各药物不良反应的相应频率类别基于以下惯例(CIOMS III):十分常见(≥1/10);常见(≥ 1/100 至 < 1/10);偶见(≥ 1/1000 至 < 1/100);罕见(≥ 1/10000至 < 1/1000);十分罕见(< 1/10000)。


对本品活性成份或者任何辅料有过敏反应者禁用。
疾病加重
本品不应用于治疗急性哮喘症状,包括需要短效支气管扩张剂治疗的支气管痉挛急性发作。增加使用短效支气管扩张剂以缓解症状显示病情控制不佳,应接受医生评估。
使用本品治疗期间,可能发生哮喘相关不良事件和急性发作。若开始使用本品治疗后哮喘症状仍未得到控制或加重应要求患者继续接受治疗但需寻求医学建议。
患者不应在无医生指导的情况下停止使用本品治疗,因为停药后症状可能复发。
超敏反应
在给予本品后观察到速发型超敏反应。若出现提示过敏反应的体征,特别是血管神经性水肿(包括呼吸或吞咽困难、舌、唇和面部肿胀)、荨麻疹或皮疹,应立即停用本品,并开始替代治疗。
矛盾性支气管痉挛
与其他吸入疗法一样,给予本品治疗可能引起导致矛盾性支气管痉挛,并且可能危及生命。如果出现这种情况,应立即停用本品,并开始替代治疗。
β 受体激动剂的心血管效应
与含有 β2-肾上腺素能激动剂的其他药品一样,本品可在一些患者中产生具有临床意义的心血管效应(包括脉搏加快、血压升高和/或相关症状)。应用药物时一旦发生上述效应,可能需要停止治疗。
在患有心血管疾病(冠状动脉疾病、急性心肌梗死、心律失常、高血压)的患者、惊厥性疾病或甲状腺功能亢进的患者以及对 β2-肾上腺素能激动剂异常敏 感的患者中,应该谨慎使用本品。
本品临床研究中排除了伴有不稳定缺血性心脏病、过去 12 个月内有心肌梗死病史、纽约心脏病协会(NYHA) III/IV 级左心衰竭、心律失常、未控制的高血压、脑血管疾病,长 QT 综合征病史的患者以及正在接受已知可延长 QTc的药物治疗的患者。因此,认为这些人群中的安全性结局未知。
虽然已有报告显示 β2-肾上腺素能激动剂可引起心电图(ECG)变化,如 T波变平、QT 间期延长和 ST 段压低,但该发现的临床意义尚不清楚。
因此,在已知或疑似 QT 间期延长的患者,或者正在服用影响 QT 间期药物的患者,应谨慎使用长效 β2-肾上腺素能激动剂(LABA)或含有 LABA 的药物,例如本品使用 β 受体激动剂的低钾血症在一些患者中应用 β2-肾上腺素能激动剂可能产生明显的低钾血症。低钾血症可能引起不良心血管效应。血清钾降低通常为一过性,并不需要补充钾。在病情严重的患者中,低钾血症可能因缺氧和伴随治疗而加重,其可能增加心律失常的易感性(参见【药物相互作用】)。
在本品临床研究中,在推荐的治疗剂量水平没有观察到具有临床意义的低血钾效应。
高血糖
吸入高剂量 β2-肾上腺素能激动剂和糖皮质激素可能导致血糖升高。一旦开始应用本品治疗,应该更加密切监测糖尿病患者的血糖。
尚未在 I 型糖尿病或未得到控制的 II 型糖尿病患者中研究本品。
与格隆铵相关的抗胆碱能作用
与其他抗胆碱能药物一样,本品应慎用于窄角型青光眼或尿潴留患者。
应告知患者急性窄角型青光眼的体征和症状,并应指导患者若出现任何上述体征或症状应停止使用本品,并立即联系医生。
重度肾功能损害患者
对于重度肾功能损害患者(估计肾小球滤过率低于 30 mL/min/1.73 m2),包括需要透析的终末期肾病患者使用时需谨慎,只有当预期获益大于潜在风险时,才能使用本品(参见【药代动力学】)。
糖皮质激素的全身效应
吸入性糖皮质激素可能会引起全身效应,尤其是长期使用高剂量时。与口服糖皮质激素相比,上述作用发生的可能性小得多,并且在个体患者和不同的糖皮质激素制剂之间可能存在差异。
可能的全身效应可包括库欣综合征、类库欣综合征样特征、肾上腺抑制、儿童和青少年生长迟缓、骨密度降低、白内障、青光眼,以及更罕见的一系列心理或行为效应,包括精神运动功能亢进、睡眠疾病、焦虑、抑郁或攻击行为。因此,重要的是将吸入性糖皮质激素的剂量调整至维持哮喘有效控制的最低剂量。
使用全身性和局部(包括鼻内、吸入和眼内)糖皮质激素可报告视觉障碍。
出现视物模糊或其他视觉障碍等症状的患者应考虑转诊至眼科医生,以评价视觉障碍的可能原因,可能包括白内障、青光眼或罕见疾病,如使用全身和局部糖皮质激素后报告的中心性浆液性脉络膜视网膜病变(CSCR)。
对于肺结核患者或慢性或未经治疗的感染患者,应谨慎使用本品。
预防口咽感染
为了降低口咽念珠菌感染的风险,应建议患者在吸入处方剂量后用水漱口而不要吞咽,或刷牙。
辅料
本品含有乳糖。伴有罕见的半乳糖不耐受遗传性问题、总乳糖酶缺乏症或葡萄糖-半乳糖吸收不良症的患者不应使用本品。
对驾驶和机器操作能力的影响
本品对驾驶车辆和操作机器的能力无影响或影响可忽略不计。
运动员慎用
本品在临床研究中用药过量的经验有限。在疑似用药过量的情况下,应启动一般支持性措施和对症治疗。
用药过量可能会产生与单个成分药理作用相关的体征、症状或不良反应(例如:心动过速、震颤、心悸、头痛、恶心、呕吐、昏昏欲睡、室性心律失常、代谢性酸中毒、低钾血症、高血糖症、眼内压升高(引起疼痛、视力障碍或眼睛发红)、便秘、排尿困难、下丘脑-垂体-肾上腺轴功能抑制)。可考虑使用具有心脏选择性的 β 受体阻滞剂来治疗 β2-肾上腺素能作用,但必须在医生的监护下使用,且须非常谨慎,因为使用 β2-受体阻滞剂可能引起支气管痉挛。严重时,患者应住院治疗。
妊娠 关于本品或其单个成分(茚达特罗、格隆铵和糠酸莫米松)用于妊娠女性的数据不足以告知药物的相关风险。 茚达特罗和格隆铵在大鼠和家兔中分别皮下或吸入给药后,无致畸性。在妊娠小鼠、大鼠和家兔的动物生殖研究中,糠酸莫米松引起胎仔畸形增加,胎仔存活率和生长下降。 仅当患者的预期获益大于对胎儿的潜在风险时,方可在妊娠期间使用本品。 与含有 β2-肾上腺素能激动剂的其他药品一样,茚达特罗可能由于对子宫平滑肌的松弛作用而抑制分娩。 生育力 动物生殖研究和其他数据均未显示对生育力的影响。尚无关于茚达特罗、格隆铵或莫米松在人乳中的存在、对母乳喂养婴儿的影响或对乳汁生成影响的信息。其他吸入性糖皮质激素(与糠酸莫米松相似)可转移至人乳中。在哺乳大鼠的乳汁中可检测到茚达特罗、格隆铵和糠酸莫米松。静脉给药后,哺乳期大鼠乳汁中的格隆铵浓度比母体血液中的浓度高 10 倍。 必须在考虑哺乳对儿童的获益和治疗对女性的获益后,决定是中止哺乳或中 止/放弃治疗。本品在 18 岁以下儿童患者中的安全性和有效性尚未确定。65 岁或以上老年患者无需调整剂量(参见【药代动力学】)。
与本品相关的相互作用
没有对本品进行专门的相互作用研究。潜在的药物相互作用信息来源于各单药组分的可能的相互作用信息。
同时经口吸入茚达特罗、格隆溴铵和糠酸莫米松在稳态条件下不会影响各自的药代动力学。
已知可延长 QTc 间期的药品
与其他含有 β2-肾上腺素能激动剂的药品一样,在接受单胺氧化酶抑制剂、三环类抗抑郁药或已知可延长 QT 间期的药物治疗的患者中,由于该类药物可能增强对 QT 间期的效应,应慎用本品。已知延长 QT 间期的药物可能增加室性心律失常的风险(参见【注意事项】)。
低钾血症的治疗
在联合应用甲基黄嘌呤衍生物、甾体类或非保钾利尿剂时,可能增加 β2-肾上腺素能激动剂的潜在的低血钾作用(参见【注意事项】)。
β-肾上腺素能阻滞剂
β-肾上腺素能阻滞剂可能减弱或拮抗 β2-肾上腺素能激动剂的作用。因此,除非有必须应用的理由, 本品不应与 β-肾上腺素能阻滞剂联合应用。必要时,应首选具有心脏选择性的 β-肾上腺素能阻滞剂,但应慎用。 与 CYP3A4 和 P-糖蛋白抑制剂的相互作用抑制 CYP3A4 和 P-糖蛋白(P-gp)对治疗剂量本品的安全性无影响。
抑制对茚达特罗的清除起主要作用的 CYP3A4 和 P-糖蛋白(P-gp)或对糠酸莫米松清除起主要作用的 CYP3A4,可使茚达特罗或糠酸莫米松的全身暴露量增加达两倍。
由于吸入给药后达到的血浆浓度非常低,与糠酸莫米松发生有临床意义的药物相互作用的可能性很低。然而,当与强效 CYP3A4 抑制剂(例如酮康唑、伊曲康唑、奈非那韦、利托那韦、考比司他)联合给药时,糠酸莫米松的全身暴露量可能增加。
西咪替丁或其他有机阳离子转运抑制剂
在一项健康志愿者临床研究中,认为可促进格隆铵肾脏排泄的有机阳离子转运抑制剂西咪替丁,使格隆铵总暴露量(AUC)增加 22%,肾脏清除率降低 23%。
根据这些改变幅度,预期格隆溴铵合并应用西咪替丁或其他有机阳离子转运抑制剂时不存在具有临床意义的药物相互作用。
其他长效毒蕈碱受体拮抗剂和长效 β2-肾上腺素能激动剂
尚未对本品与其他含有长效毒蕈碱受体拮抗剂或长效 β2-肾上腺素能激动剂的药品联合用药进行研究,所以不推荐该用法,因为其可能会增强不良反应(参 见【不良反应】和【药物过量】)。
Novartis Pharma Stein AG
86978677000299,86978677000282
茚达特罗格隆溴铵糠酸莫米松吸入粉雾剂是长效 β2-肾上腺素能激动剂(LABA)茚达特罗、长效乙酰胆碱受体拮抗剂(LAMA)格隆溴铵和吸入性合成糖皮质激素(ICS)糠酸莫米松的复方制剂。经口吸入给药后,茚达特罗和格隆溴铵通过不同的机制局部作用于气道产生支气管扩张作用,糠酸莫米松可减轻肺部炎症。
茚达特罗:
茚达特罗是一种长效 β2-肾上腺素能激动剂。吸入茚达特罗后其在肺内局部发挥支气管扩张剂的作用。虽然 β2-受体是支气管平滑肌中的主要肾上腺素能受体,β1-受体是心脏中的主要受体,但在人体心脏中也存在 β2-肾上腺素能受体,占全部肾上腺素能受体的 10%~50%。虽然尚不清楚这些受体的确切功能,但它们的存在提示了一种可能性,即:即使高选择性的 β2-肾上腺素能激动剂也可能有影响心脏的作用。
包括茚达特罗在内的 β2-肾上腺素能激动剂药物的药理学作用,至少部分来自于细胞内腺苷环化酶的激活,该酶能够催化三磷酸腺苷(ATP)转化为环- 3’,5’- 一磷酸腺苷(环一磷酸腺苷)。环磷酸腺苷(cAMP)水平升高引起支气管平滑
肌松弛。体外研究显示长效 β2-肾上腺素能受体激动剂茚达特罗对 β2-受体的激动活性高于 β1-受体 24 倍,高于 β3-受体 20 倍。尚不明确这些发现的临床意义。
格隆溴铵:
格隆溴铵是长效乙酰胆碱受体拮抗剂(LAMA),对人体乙酰胆碱能 M3 受体的选择性高于 M2 受体 4 倍,可特异性结合并抑制支气管平滑肌分布的 M3 型乙酰胆碱受体而扩张气道。
糠酸莫米松:
糠酸莫米松是一种皮质类固醇激素,具有强效抗炎作用。研究显示皮质类固醇对多种细胞(如肥大细胞、嗜酸性粒细胞、中性粒细胞、巨噬细胞和淋巴细胞)和炎症介质(如组胺、类花生酸类物质、白三烯和细胞因子)具有广泛的作用。
尚未对茚达特罗、格隆铵和糠酸莫米松联合用药进行动物研究。各单药和复方制剂的体内研究如下所示。
茚达特罗和糠酸莫米松复方制剂:
犬吸入给药 13 周重复给药毒性研究结果主要归因于糠酸莫米松,是糖皮质激素的典型药理学作用。茚达特罗/糠酸莫米松或茚达特罗单独给药后,犬心率明显增加,心率增加与茚达特罗相关。
茚达特罗和格隆溴铵联合用药:
犬吸入给药 2 周、13 周重复给药毒性研究显示,在茚达特罗/格隆溴铵和单一成分的所有剂量组中,犬心率明显加快。与单一成分给药相比,茚达特罗/格隆溴铵增加心率的幅度和持续时间符合叠加效应。犬心血管安全性药理学研究可见明显心电图间期缩短及收缩压和舒张压降低。犬 13 周吸入给予茚达特罗单一成分或茚达特罗/格隆溴铵可见发生率和严重程度相当的心肌损害,无心脏损伤的 NOAEL 为 386/125μg/kg/d(茚达特罗/格隆溴铵)。
茚达特罗:
重复给药毒性
大鼠吸入给予茚达特罗可见轻度鼻腔和喉部刺激性。犬吸入给予茚达特罗,可见 β2 受体激动特性的心血管效应包括:心动过速、心律失常和心肌损伤。仅在暴露量明显超过人体的预期暴露量时可见这些改变。
遗传毒性
茚达特罗 Ames 试验、V79 中国仓鼠细胞染色体畸变试验与大鼠骨髓微核试验结果均为阴性。
生殖毒性
兔皮下注射茚达特罗,在剂量高于人体每日吸入剂量 150μg 的 500 倍以上时(以 AUC0-24h 计)可见对生育力及胚胎-胎仔发育的不良影响。茚达特罗对大鼠生育力未见明显影响,大鼠围产期和产后发育毒性试验中可见子代数量减少。
致癌性
大鼠 2 年及转基因小鼠 6 个月致癌性试验中,在暴露量超过预期的人体暴露量时,大鼠良性卵巢平滑肌瘤和卵巢平滑肌局灶性增生的发生率增加,与其他 β2-肾上腺素能激动剂结果相似。小鼠中未见致癌性证据。
格隆溴铵:
重复给药毒性
大鼠连续 26 周吸入给予格隆溴铵 0.09、0.67、4.98 mg/kg/d,可见晶状体混浊和轻微或点状白内障,可能与经鼻吸入给药导致的眼局部高暴露有关。在大鼠中进行的其他毒蕈碱拮抗剂的长期研究中也可见晶状体混浊,可能是种属特异性改变。大鼠中还可见喉部的鳞状上皮化生,呼吸上皮/嗅上皮内的嗜酸性小球,鼻腔内杯细胞的肥大/增生。恢复期后,喉和鼻腔内的变化仍然明显。大鼠中可见肺支气管肺泡连接处轻微上皮改变,认为是适应性反应。本试验未见不良反应剂量(NOAEL)为 0.09 mg/kg/d,以暴露量计相当于人临床日推荐剂量 50μg 下AUC 的 30 倍。
Beagle 犬连续 39 周吸入给予格隆溴铵,可见一过性心动过速、与药理作用相关的唾液腺、泪腺、哈氏腺和咽喉部分泌减少,以及呼吸道轻度刺激性组织病理学改变。NOAEL 为 0.03mg/kg/d,以暴露量计相当于人临床日推荐剂量 50μg 下 AUC 的 10 倍。
遗传毒性
格隆溴铵 Ames 试验、人淋巴细胞染色体畸变试验、大鼠骨髓细胞微核试验结果均为阴性。
生殖毒性
大鼠连续皮下注射给予格隆溴铵 1.88mg/kg/d 可导致雄性和雌性生育力损伤,可见着床数和活胎数减少。在 0.63mg/kg/d 剂量下未见明显生殖毒性,以暴露量计,相当于人临床日推荐剂量 50μg 下 AUC 的约 162 倍。
妊娠大鼠吸入给予格隆溴铵 0.1、0.68、3.83mg/kg/d,3.83mg/kg/d 剂量下动物体重、体重增加和摄食量明显减少。本试验母体 NOAEL 为 0.68mg/kg/d,3 个剂量下均未见胚胎致死性、胚胎毒性或致畸性。
妊娠兔吸入给予格隆溴铵 0.1、0.7、2.4 和 4.4mg/kg/d,在≥2.4mg/kg/d 的剂量水平,可见母体体重和摄食量减少,未见胚胎致死性、胚胎毒性或者致畸性。格隆溴铵及其代谢产物可泌入大鼠乳汁,乳汁中浓度约为母体血药浓度的10 倍。
致癌性
在转基因小鼠经口给药和大鼠吸入给药致癌性试验中,以暴露量计,格隆溴铵在高于人临床日推荐剂量 50μg 下 AUC 的约 53 倍和 75 倍的剂量下未见明显致癌性。
糠酸莫米松:
遗传毒性
糠酸莫米松在中国仓鼠卵巢细胞染色体畸变试验中可增加染色体畸变,但在中国仓鼠肺细胞染色体畸变试验未见引起染色体畸变增加。糠酸莫米松在 Ames试验和小鼠淋巴瘤试验中未见诱变性,在小鼠体内微核试验、大鼠骨髓染色体畸变试验和小鼠雄性生殖细胞染色体畸变试验中未见致染色体断裂作用,在大鼠肝细胞中未见诱导程序外 DNA 合成。
生殖毒性
大鼠皮下注射糠酸莫米松达 15μg/kg,未见对生育力的影响。小鼠皮下注射糠酸莫米松 60μg/kg 时,可见腭裂;剂量为 180μg/kg 时,可见胎仔存活率降低;剂量为 20μg/kg 时,未见毒性反应。大鼠局部皮肤给药剂量为 600μg/kg 及更高剂量时,可见脐疝;剂量为 300μg/kg 时,可见骨化延迟,未见畸形。兔局部皮肤给药剂量为 150μg/kg 时,可见致畸作用(如前爪弯曲、胆囊发育不全、脐疝、脑积水)。兔经口给予糠酸莫米松 700μg/kg,可见再吸收和畸形的发生率增加,包括腭裂以及头部畸形(脑积水或半球形头);剂量为2800μg/kg 时,大多数兔出现妊娠受阻(再吸收和流产);剂量为 140μg/kg 时,未见毒性反应。
雌性大鼠围产期皮下注射糠酸莫米松 15μg/kg 可导致妊娠期延长、分娩时间延长和难产,伴随产仔数、出生体重及早期胎仔存活率的降低;剂量为 7.5μg/kg时,未见类似的不良影响。
致癌性
SD 大鼠 2 年致癌性试验中,吸入剂量高达 67μg/kg,CD-1 小鼠 19 个月致癌性试验中,吸入剂量高达 160μg/kg,均未见肿瘤发生率显著升高。
在一项 III 期随机、双盲研究 IRIDIUM 中评价了本品在成人哮喘患者中的安全性和有效性。该研究是一项多中心、为期 52 周的研究,评价了本品 150/50/80µg每日一次给药(N=620)和 150/50/160µg 每日一次给药(N=619)分别与茚达特罗/糠酸莫米松 150/160µg 每日一次给药(N=617)和 150/320µg 每日一次给药(N=618)的比较。第三个活性对照组包括了接受昔萘酸沙美特罗/丙酸氟替卡松(SAL/FP)50/500µg 每日两次治疗的受试者(N=618)。所有受试者必须在进入研究前至少 3 个月内有哮喘症状,并接受中或高剂量 ICS 和 LABA 联合治疗的哮喘维持治疗。平均年龄 52.2 岁。在筛选时,99.9%的患者报告了过去一年的急性发作病史。入组研究时,报告的最常见哮喘药物为 LABA 联合中剂量 ICS(62.6%)、LABA 联合高剂量ICS(36.7%)
本研究的主要目的是证明第 26 周时,在 FEV1 谷值方面,本品 150/50/80µg每日一次给药优于茚达特罗/糠酸莫米松 150/160µg 每日一次给药或本品150/50/160µg 每日一次给药优于茚达特罗/糠酸莫米松 150/320µg 每日一次给药。
本品每日一次给药中的糠酸莫米松(MF)80µg (中剂量)和 160µg (高剂量)分别与经单位剂量干粉吸入器给药的茚达特罗/糠酸莫米松中的 MF 160µg(中剂量)和 320µg (高剂量)剂量相当。
本品 150/50/80µg 和 150/50/160µg 每日一次与相应剂量的茚达特罗/糠酸莫米松相比,第 26 周时 FEV1 谷值均显示出统计学显著性改善。与相应剂量的茚达特罗/糠酸莫米松相比,观察到早晚最大呼气流量出现具有临床意义的改善。与昔萘酸沙美特罗/丙酸氟替卡松 50/500µg 每日两次给药相比,也观察到肺功能(第 26 周时 FEV1 较基线的变化、早晚最大呼气流量)出现具有临床意义的改善。第 52 周结果与第 26 周一致。(见表 2)。本品 150/50/160µg 每日一次给药与昔萘酸沙美特罗 /丙酸氟替卡松50/500µg 每日两次给药相比,显示出具有临床意义的急性发作年发生率降低(中度或重度降低 36%,重度降低 42%,所有急性发作降低 40%)。与茚达特罗/糠酸莫米松 150/320µg 每日一次给药相比数值降低。本品 150/50/80µg 每日一次给药与茚达特罗/糠酸莫米松 150/160µg 每日一次给药和昔萘酸沙美特罗/丙酸氟替卡松50/500µg 每日两次给药相比,也显示出急性发作年发生率降低(见表5)。
肺功能


起效
在研究 IRIDIUM 中,本品在给药后 5 分钟内表现出快速起效的支气管扩张作用(见表 3)。
ACQ-7
在研究IRIDIUM中,所有治疗组第26周(关键次要终点)和第52周时 ACQ-7评分较基线的平均变化约为-1。不同时间点的 ACQ-7 应答率(定义为评分下降≥0.5)见表 4。

急性发作

研究 IRIDIUM 中国亚组数据
研究 IRIDIUM 中,共随机了 66 例中国患者。
在中国亚组中观察到的第 26 周主要终点(FEV1 谷值)关键次要终点(ACQ-7)结果与总体人群中的结果一致。与相应剂量的茚达特罗/糠酸莫米松相比,高剂量和中剂量的本品在 52 周内的所有访视对 FEV1 谷值的改善大体一致。
中国亚组中, 经过 26 周治疗,高剂量和中剂量的本品相比于相应剂量的茚达特罗/糠酸莫米松,对 FEV1 谷值改善的 LS 均值分别为 93 mL (95%CI:-173 mL,360 mL)和 84 mL(95%CI: -206 mL,374 mL);两种剂量的本品与昔萘酸沙美特罗/丙酸氟替卡松 50/500µg 每日两次相比,均显示对 FEV1 谷值的改善持续且有意义。ACQ-7 评分相对基线的 LS 平均变化约为-1(本品高剂量和中剂量组分别为 -1.236 和-1.051)。
吸收
吸入本品后,茚达特罗、格隆铵和糠酸莫米松达到血药峰浓度值的中位时间分别约为 15 分钟、5 分钟和 1 小时。
基于体外研究数据,预计本品和单药治疗产品递送至肺部的各单药治疗成分的剂量相似。吸入本品后,茚达特罗、格隆铵和糠酸莫米松的稳态血浆药物暴露量与吸入马来酸茚达特罗、格隆铵溴或糠酸莫米松单药治疗产品后的全身暴露量相似。
吸入本品后,估计茚达特罗的绝对生物利用度约为 45%,格隆铵约为 40%,糠酸莫米松小于 10%。
茚达特罗
茚达特罗浓度随每日一次重复给药增加,12 至 14 天内达到稳态。每日一次吸入给药剂量为 75-600 微克时,茚达特罗的平均蓄积比(即与第 1 天相比,第14 天持续 24 小时给药间隔内的 AUC)范围为 2.9-3.8。全身暴露量是综合肺吸收和胃肠道吸收的结果;约 75%的全身暴露量来自肺吸收,约 25%来自胃肠道吸收。
格隆铵
吸入后全身暴露量的 90%归因于肺吸收,10%归因于胃肠道吸收。口服格隆溴铵的绝对生物利用度估计约为 5%。
糠酸莫米松
糠酸莫米松浓度随着经药粉吸入器每日一次重复给药增加。12 天后达到稳态。作为本品的一部分,每日一次吸入剂量为 80-160 微克时,糠酸莫米松的平均蓄积比(即第 14 天 AUC0-24hr与第 1 天的 AUC0-24hr相比)范围为 1.28-1.40。糠酸莫米松口服给药后,估计糠酸莫米松的绝对口服全身生物利用度非常低(<2%)。
分布
茚达特罗
在静脉输注给药后,茚达特罗分布容积(Vz)为 2361-2557 升,表明分布广泛。在体外与人血清和血浆蛋白结合率分别为 94.1%-95.3%和 95.1%-96.2%。
格隆铵
静脉给药后,格隆铵的稳态分布容积(Vss)为 83 升,终末相分布容积(Vz) 为 376 升。吸入给药后终末相表观分布容积(Vz/F)为 7310 升,表明吸入给药后的消除较慢。在 1-10 ng/mL 浓度范围内,体外格隆铵人血浆蛋白结合率为38%-41%。这些浓度比 50 微克每日一次给药方案在血浆中达到的稳态平均峰值高至少 6 倍。
糠酸莫米松
静脉推注给药后,Vd为 332 升。糠酸莫米松的体外蛋白结合率较高,在 5-500 ng/ml 浓度范围内为 98%-99%。
生物转化/代谢
茚达特罗
在人体吸收、分布、代谢、排泄(ADME)研究中,口服放射性标记的茚达特罗后,原型茚达特罗是血清中的主要成分,约占 24 小时内总药物相关 AUC 的三分之一。羟基衍生物是血清中最主要的代谢产物。茚达特罗酚 O-葡萄糖醛酸苷和羟基化茚达特罗是主要次级代谢产物。羟基衍生物的非对映异构体,N-葡萄糖醛酸苷茚达特罗以及 C-和 N-脱烷烃产物是已鉴定的进一步代谢产物。
体外研究显示 UGT 中只有 UGT1A1 亚型将茚达特罗代谢成为酚 O-葡萄糖醛酸苷。在重组 CYP1A1、CYP2D6、CYP3A4 共同孵育实验中可见氧化代谢产物形成。CYP3A4 被认为是茚达特罗羟基化的主要同工酶。体外研究进一步表明,茚达特罗是外排转运蛋白 P-gp 的低亲和性底物。
在体外,UGT1A1 亚型为茚达特罗代谢清除的主要促进因素。然而,如不同UG T1A1基因型人群的临床研究所示,茚达特罗的全身暴露量未显著受 UGT1A1基因型影响。
格隆铵
体外代谢研究表明,格隆铵在动物与人体的代谢途径一致。没有发现人体特异代谢物。检测到由羟基化反应产生的不同的单羟基和双羟基代谢产物,和直接水解反应产生的羧酸衍生物(M9)。
体外研究表明,多种 CYP 同工酶参与格隆铵的氧化生物转化。水解为 M9可能由胆碱酯酶家族成员催化。
吸入给药后,M9全身暴露量总体与原型药物暴露数量级相同。由于体外研究未显示肺代谢且静脉给药后M9在循环中的占比较小(约占原型药物Cmax和AUC的4%),推测M9是由经口吸入给药格隆溴铵的吞咽剂量部分通过全身暴露前水解和/或首过代谢形成。吸入和静脉给药后,尿液中仅发现极少量的M9(即≤剂量的0.5%)。重复吸入给药后在人尿液中可检测到格隆铵的葡糖醛酸苷和/或硫酸结合物,约占给药剂量的3%。
体外抑制研究表明,格隆铵对 CYP1A2、CYP2A6、CYP2C8、CYP2C9、CYP2C19、CYP2D6、CYP2E1 或 CYP3A4/5、外排转运体 MDR1、MRP2 或 MXR,及摄取转运体 OATP1B1、OATP1B3、OAT1、OAT3、OCT1 或 OCT2 无抑制作用。体外酶诱导研究表明,格隆铵对测试的细胞色素 P450 同工酶、UGT1A1 和转运体 MDR1 和 MRP2 均无具有临床意义的诱导作用。
糠酸莫米松
糠酸莫米松吸入剂被吞咽并在胃肠道吸收的部分经过广泛代谢形成多种代谢物。在血浆中未检出主要代谢物。在人肝微粒体中,糠酸莫米松经细胞色素P-450 3A4(CYP3A4)代谢。
排泄
茚达特罗
在有尿液采集的临床研究中,经尿液排泄的茚达特罗原型药物通常低于给药剂量的 2%。茚达特罗的平均肾清除率在 0.46 和 1.20 升/小时之间。与茚达特罗的血清清除率 18.8 至 23.3 升/小时相比,肾清除率在茚达特罗的全身消除中所起到的作用较小(约为全身清除率的 2%-6%)。
在一项茚达特罗口服给药的人体 ADME 研究中,粪便途径是主要的排泄途径,多于尿液途径。茚达特罗主要以原型药物的形式(占给药剂量的 54%)排泄到人体粪便中,其次是羟基化茚达特罗代谢产物(占给药剂量的 23%)。给药剂量的 90%或更多可从排泄物中回收,达到了物料平衡。
茚达特罗的血清浓度呈现多相下降,平均终末半衰期范围为 45.5-126 小时。
根据重复给药后茚达特罗蓄积率计算得到的有效作用半衰期范围为 40-52 小时,与观察达到稳态的时间约 12-14 天一致。
格隆铵
人静脉注射[3H]标记的格隆铵后,48 小时内平均放射性尿排泄量占给药剂量的 85%。在胆汁中发现了另外 5%的给药剂量。因此,物料平衡完全。
格隆铵原形药物的肾脏清除率约占全身总清除率的60~70%,非肾清除率约占30~40%。胆汁清除占非肾清除的一部分,但非肾清除率主要与代谢相关。健康志愿者和COPD患者单次吸入50-200微克格隆铵和每日一次重复给药后,格隆铵的平均肾清除率范围为17.4-24.4 升/小时。格隆铵肾清除中部分是经肾小管主动分泌。尿液中原形药物占给药剂量达20%。
格隆铵血浆浓度以多相方式降低。吸入给药后的平均终末消除半衰期(33至 57 小时)明显长于静脉给药(6.2 小时)和口服给药(2.8 小时)。消除特征提示在吸入给药后 24 h 及更长时间内格隆铵存在持续的肺部吸收和/或转运至体循环。
糠酸莫米松
静脉推注给药后,糠酸莫米松的终末消除 T1/2约为 4.5 小时。放射性标记的经口吸入的药物主要经粪便排泄(74%),少量经尿液排泄(8%)。
线性/非线性
健康受试者接受本品 150/50/80µg 和 150/50/160µg 单次和多次吸入给药后,糠酸莫米松(Cmax和 AUC0-24h)全身暴露量呈剂量比例性增加。在 150/50/80µg 至150/50/160µg 剂量范围内,哮喘患者的稳态全身暴露量呈低于剂量比例的增加(1.7 倍)。鉴于本品的两种剂量规格中茚达特罗或格隆溴铵各仅使用了一种剂量水平,故未对茚达特罗或格隆铵进行剂量比例性评估。
特殊人群
哮喘患者吸入本品后的群体药代动力学分析显示,年龄、性别、体重、吸烟状况、基线估计肾小球滤过率(eGFR)和基线 FEV1对茚达特罗、格隆铵或糠酸莫米松全身暴露量无显著影响。
肾功能损害
尚未在本品专项研究中评价肾功能损害对茚达特罗、格隆铵和糠酸莫米松药代动力学的影响。在群体药代动力学分析中,估计肾小球滤过率(eGFR)不是哮喘患者接受本品给药后茚达特罗、格隆铵和糠酸莫米松全身暴露量的具有统计学意义的协变量。
由于尿排泄途径对茚达特罗和糠酸莫米松全身消除的贡献极低,尚未研究肾功能损害对其全身暴露量的影响。
肾功能损害会影响格隆溴铵作为单药治疗给药的全身暴露。在轻度和中度肾损害受试者中观察到总全身暴露(AUClast)平均增加适中,达 1.4 倍,在重度肾损害和终末期肾病受试者中总全身暴露增加达 2.2 倍。基于在伴有轻度和中度肾功能损害(eGFR≥30 mL/min/1.73 m2)的慢性阻塞性肺疾病患者中对格隆铵的群体 PK 分析,可以使用推荐剂量的格隆溴铵。
肝功能损害
尚未在肝功能损害受试者中评价本品给药后肝功能损害对茚达特罗、格隆铵和糠酸莫米松的药代动力学的影响。然而,已对单一成分进行了研究。
茚达特罗:在轻、中度肝功能损害患者中,茚达特罗的 Cmax或 AUC 无相关改变,与健康受试者相比较,蛋白结合率亦不存在差异。尚未在重度肝功能损害受试者中开展研究。
格隆铵:尚未在肝功能损害患者中进行临床研究。格隆铵主要通过肾排泄从体循环中清除(参见【药代动力学】-排泄)。肝脏代谢损害不会引起格隆铵全身暴露量出现具有临床意义的增加。
糠酸莫米松:一项在轻度(n=4)、中度(n=4)和重度(n=4)肝功能损害受试者中评估通过干粉吸入器单次吸入剂量 400µg 糠酸莫米松的研究中,仅发现各组中 1 或 2 例受试者的糠酸莫米松的血药峰浓度可检(范围为 50-105 pcg/mL)。观察到的血药峰浓度似乎随肝功能损害严重程度增加而增加;然而,可检出水平的数量很少(分析定量下限为 50 pcg/mL)。
种族
日本人和高加索人受试者之间茚达特罗、格隆铵及糠酸莫米松的全身暴露无临床相关的种族差异。
本品在中国健康受试者开展过 PK 研究。对于来自不同研究的茚达特罗、格隆溴铵及糠酸莫米松的全身暴露数据分析表明,中国人和非中国人之间也未见临床相关的种族差异。
其他
格隆铵的全身总暴露(AUC)在低体重(35 kg)哮喘患者可能高达 1.8 倍,在低体重(35 kg)和低绝对 GFR(45 ml/min)哮喘患者高达 2.5 倍。
吸入粉雾剂
每粒含醋酸茚达特罗150μg、格隆溴铵50μg和糠酸莫米松160μg;每粒含醋酸茚达特罗150μg、格隆溴铵50μg和糠酸莫米松80μg
铝-铝泡罩包装,10 粒/板。 茚达格莫吸入粉雾剂(I): 每盒内装 10 粒胶囊和 1 个比斯海乐®药粉吸入器。 每盒内装 30 粒胶囊和 1 个比斯海乐®药粉吸入器。 茚达格莫吸入粉雾剂(II): 每盒内装 10 粒胶囊和 1 个比斯海乐®药粉吸入器。 每盒内装 30 粒胶囊和 1 个比斯海乐®药粉吸入器。
密封,防潮避光,不超过 25℃保存。 胶囊应该保存在泡罩内,仅于使用前取出。 将本品保存于儿童不可触及处。
30 个月
国药准字HJ20210033,国药准字HJ20210034